SOLUTION: if sinx=1/3, secy=5/3. fine the exact values of a) tan(x+y) b) cos (x-y) c) sin^2(x) + cos^2(y) can anyone show me how can i atleast start the question? method? thanks

Algebra ->  Trigonometry-basics -> SOLUTION: if sinx=1/3, secy=5/3. fine the exact values of a) tan(x+y) b) cos (x-y) c) sin^2(x) + cos^2(y) can anyone show me how can i atleast start the question? method? thanks      Log On


   



Question 470625: if sinx=1/3, secy=5/3. fine the exact values of
a) tan(x+y)
b) cos (x-y)
c) sin^2(x) + cos^2(y)
can anyone show me how can i atleast start the question? method?
thanks

Answer by Alan3354(69443) About Me  (Show Source):
You can put this solution on YOUR website!
if sinx=1/3, secy=5/3. fine the exact values of
a) tan(x+y)
b) cos (x-y)
c) sin^2(x) + cos^2(y)
-------------
sin(x) = 1/3
cos%28x%29+=+sqrt%281+-+sin%5E2%28x%29%29+=+2sqrt%282%29%2F3
---------
tan(x) = sin(x)/cos(x) = sqrt(2)/4
-----------------
sec(y) = 5/3
cos(y) = 3/5
sin(y) = 4/5
tan(y) = sin(y)/cos(y) = 4/3
------------
a) tan%28x%2By%29+=+%28tan%28x%29+%2B+tan%28y%29%29%2F%281+-+tan%28x%29%2Atan%28y%29%29
= %28sqrt%282%29%2F4+%2B+%284%2F3%29%29%2F%281+-+%284%2F3%29%2A%28sqrt%282%29%2F4%29%29
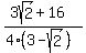
= +%28%283sqrt%282%29+%2B+16%29%2F12%29%2F%281+-+sqrt%282%29%2F3%29
= +%283sqrt%282%29+%2B+16%29%2F%284%283+-+sqrt%282%29%29%29
= +%2854+%2B+25sqrt%282%29%29%2F28 exactly
=~ 3.191
--------------------
b) cos (x-y)
= cos(x)cos(y) + sin(x)sin(y)
= %282sqrt%282%29%2F3%29%2A%283%2F5%29+%2B+%281%2F3%29%2A%284%2F5%29
= 2sqrt%282%29%2F5+%2B+4%2F15 exactly
=~ 0.832352
------------
c) sin^2(x) + cos^2(y)
= 1/9 + 9/25
= 106/225