SOLUTION: Evaluate each infinte geometric series. 1. http://i52.tinypic.com/14lqy2s.gif 2. http://i55.tinypic.com/10hsnza.gif
Algebra
->
Trigonometry-basics
-> SOLUTION: Evaluate each infinte geometric series. 1. http://i52.tinypic.com/14lqy2s.gif 2. http://i55.tinypic.com/10hsnza.gif
Log On
Algebra: Trigonometry
Section
Solvers
Solvers
Lessons
Lessons
Answers archive
Answers
Click here to see ALL problems on Trigonometry-basics
Question 453839
:
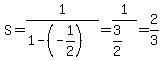
Evaluate each infinte geometric series.
1. http://i52.tinypic.com/14lqy2s.gif
2. http://i55.tinypic.com/10hsnza.gif
Answer by
robertb(5830)
(
Show Source
):
You can
put this solution on YOUR website!