SOLUTION: I would appreciate some help with these two questions: Solve each question for 0 &#8806; &#5054; < 2<font face = "symbol">p</font> 1. {{{2cos^2(theta)-1=0}}} 2. {{{sqrt(2)si

Algebra ->  Trigonometry-basics -> SOLUTION: I would appreciate some help with these two questions: Solve each question for 0 &#8806; &#5054; < 2<font face = "symbol">p</font> 1. {{{2cos^2(theta)-1=0}}} 2. {{{sqrt(2)si      Log On


   



Question 451699: I would appreciate some help with these two questions:
Solve each question for 0 ≦ Ꮎ < 2p
1. 2cos%5E2%28theta%29-1=0
2. sqrt%282%29sin%28theta%29cos%28theta%29%2Bcos%28theta%29=0

Answer by Edwin McCravy(20063) About Me  (Show Source):
You can put this solution on YOUR website!
I would appreciate some help with these two questions:
Solve each question for 0 ≦ Ꮎ < 2p

1. 2cos%5E2%28theta%29-1=0

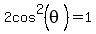
2cos%5E2%28theta%29=1

cos%5E2%28theta%29=1%2F2

Use the principle of square roots:

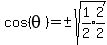
cos%28theta%29=+%22%22+%2B-+sqrt%281%2F2%29

cos%28theta%29=%22%22+%2B-+sqrt%28expr%281%2F2%29expr%282%2F2%29%29

cos%28theta%29=%22%22+%2B-+sqrt%282%2F4%29

cos%28theta%29=%22%22+%2B-+sqrt%282%29%2F2%29

Since the cosine can be positive or negative,
The solutions are all the angles in all four 
quadrants with a 45² or pi%2F4 reference 
angle.

They are:

pi%2F4, 3pi%2F4, 5pi%2F4, 7pi%2F4   

2. sqrt%282%29sin%28theta%29cos%28theta%29%2Bcos%28theta%29=0

Factor out GCF cos%28theta%29

cos%28theta%29%28sqrt%282%29sin%28theta%29%2B1%29=0

Use the zero-factor property.  Setting the first
factor = 0,

cos%28theta%29=0

This has solutions pi%2F2, 3pi%2F2

Setting the other factor = 0,

sqrt%282%29sin%28theta%29%2B1=0

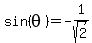
sqrt%282%29sin%28theta%29=-1

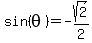
sin%28theta%29=-1%2Fsqrt%282%29

sin%28theta%29=expr%28-1%2Fsqrt%282%29%29expr%28sqrt%282%29%2Fsqrt%282%29%29

sin%28theta%29=-sqrt%282%29%2F2%29

Since the sine is negative, the solutions are the 
angles in the third and fourth quadrants with a 
45² or pi%2F4 reference angle.

They are 5pi%2F4 and 7pi%2F4  

So the solutions are: 

pi%2F2, 3pi%2F2, 5pi%2F4, and 7pi%2F4

Edwin