SOLUTION: simplify 1/(1-cosx) + 1/(1+cosx)
Algebra
->
Trigonometry-basics
-> SOLUTION: simplify 1/(1-cosx) + 1/(1+cosx)
Log On
Algebra: Trigonometry
Section
Solvers
Solvers
Lessons
Lessons
Answers archive
Answers
Click here to see ALL problems on Trigonometry-basics
Question 448396
:
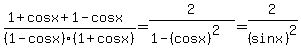
simplify 1/(1-cosx) + 1/(1+cosx)
Answer by
Gogonati(855)
(
Show Source
):
You can
put this solution on YOUR website!
=
.