SOLUTION: Solve for x: (1/3)^(4x-1) = 3^(x-1) Thanks Kamla
Algebra
->
Trigonometry-basics
-> SOLUTION: Solve for x: (1/3)^(4x-1) = 3^(x-1) Thanks Kamla
Log On
Algebra: Trigonometry
Section
Solvers
Solvers
Lessons
Lessons
Answers archive
Answers
Click here to see ALL problems on Trigonometry-basics
Question 439484
:
Solve for x: (1/3)^(4x-1) = 3^(x-1)
Thanks
Kamla
Answer by
Gogonati(855)
(
Show Source
):
You can
put this solution on YOUR website!
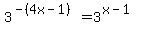
Rewrite the equation in the form:
, since the bases are same
and the exponents are same:
, solving this equation we have:
, and
.
Done.