SOLUTION: Find the length of the arc on a circle of radius of 11in and an angle of 45 degrees
Algebra
->
Trigonometry-basics
-> SOLUTION: Find the length of the arc on a circle of radius of 11in and an angle of 45 degrees
Log On
Algebra: Trigonometry
Section
Solvers
Solvers
Lessons
Lessons
Answers archive
Answers
Click here to see ALL problems on Trigonometry-basics
Question 436270
:
Find the length of the arc on a circle of radius of 11in and an angle of 45 degrees
Answer by
Gogonati(855)
(
Show Source
):
You can
put this solution on YOUR website!
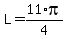
As you know 45 degrees=
radian. Let L the length of the arc and R the
radius. We know from Trigonometry that L=R*
, substitute and have:
Answer:The length of the arc is
.