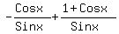
We will work with just the left side:
Use the quotient identity
to rewrite the first term:
Multiply the second fraction by
which just equals 1:
Multiply the fractions:
Use the Pythagorean identity written as
to replace the second denominator:
Simplify the second term on the bottom:
The denominators are the same so we can combine the
two fractions by combining the numerators over the
common denominator:
Simplify the numerator:
Use the reciprocal identity
Edwin