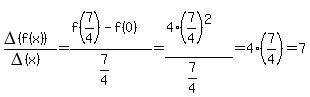
SOLUTION: What is the average rate of change for the function between the given values. f(x)=4x^2; from 0 to 7/4.

Algebra ->  Trigonometry-basics -> SOLUTION: What is the average rate of change for the function between the given values. f(x)=4x^2; from 0 to 7/4.      Log On


   



Question 405380: What is the average rate of change for the function between the given values.
f(x)=4x^2; from 0 to 7/4.

Answer by richard1234(7193) About Me  (Show Source):
You can put this solution on YOUR website!
The average rate of change is given by .