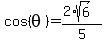
You can put this solution on YOUR website! If sin(theta) = -1/5 then by the Pythagorean identity,
(plus or minus)
However, since tan(theta) < 0 and sin(theta) < 0, it follows that cos (theta) > 0 because by definition. Therefore we take the positive value of cos(theta), or .