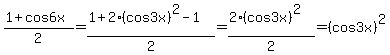
SOLUTION: Verify the identity: cos^23x=((1+cos6x)/2)
Algebra
->
Trigonometry-basics
-> SOLUTION: Verify the identity: cos^23x=((1+cos6x)/2)
Log On
Algebra: Trigonometry
Section
Solvers
Solvers
Lessons
Lessons
Answers archive
Answers
Click here to see ALL problems on Trigonometry-basics
Question 375092
:
Verify the identity: cos^23x=((1+cos6x)/2)
Answer by
robertb(5830)
(
Show Source
):
You can
put this solution on YOUR website!
.