SOLUTION: Find each exact value of cos(x-y) if cos(x)=(5)/(12) and cos(y)=(11)/(12).

Algebra ->  Trigonometry-basics -> SOLUTION: Find each exact value of cos(x-y) if cos(x)=(5)/(12) and cos(y)=(11)/(12).      Log On


   



Question 366648: Find each exact value of cos(x-y) if cos(x)=(5)/(12) and cos(y)=(11)/(12).
Answer by jim_thompson5910(35256) About Me  (Show Source):
You can put this solution on YOUR website!
Since cos%28x%29=5%2F12, this means that


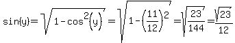
Also, because cos%28y%29=11%2F12, this means that


Now use the identity cos%28x-y%29=cos%28x%29cos%28y%29%2Bsin%28x%29sin%28y%29 to get:





So cos%28x-y%29=%2855%2Bsqrt%282737%29%29%2F144 when cos%28x%29=5%2F12 and cos%28y%29=11%2F12