SOLUTION: The terminal side of theta lies on the line x=0, and pi < theta < 2pi. Find Tan(theta) and csc(theta)

Algebra ->  Trigonometry-basics -> SOLUTION: The terminal side of theta lies on the line x=0, and pi < theta < 2pi. Find Tan(theta) and csc(theta)      Log On


   



Question 356706: The terminal side of theta lies on the line x=0, and pi < theta < 2pi.
Find Tan(theta) and csc(theta)

Answer by Edwin McCravy(20065) About Me  (Show Source):
You can put this solution on YOUR website!
The terminal side of theta lies on the line x=0, and pi < theta < 2pi.
Find Tan(theta) and csc(theta).
The line x=0 is the y-axis, and for an angle theta to have its terminal
side (the green ray) on the y-axis and also be between pi and 2%7B%7B%7Bpi is
to be like this, and the value of theta=%283pi%29%2F2:



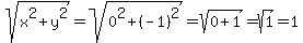
Take a point on the terminal side (x=0, y=-1, r=sqrt%28x%5E2%2By%5E2%29=sqrt%280%5E2%2B%28-1%29%5E2%29=sqrt%280%2B1%29=sqrt%281%29=1):



sin%28theta%29=y%2Fr=%28-1%29%2F1=-1
cos%28theta%29=x%2Fr=0%2F1=0
tan%28theta%29=y%2Fx=-1%2F0=-infinity (or undefined)
sec%28theta%29=r%2Fx=1%2F0=infinity (or undefined)
csc%28theta%29=t%2Fy=1%2F%28-1%29=-1 
cot%28theta%29=x%2Fy=0%2F%28-1%29=0

Edwin