SOLUTION: Complete the square on both the x and y term to rewrite the equation 4x2 − 6y2 − 8x + 24y − 44 = 0 so that you can use the rewritten equation to relate this equ

Algebra ->  Trigonometry-basics -> SOLUTION: Complete the square on both the x and y term to rewrite the equation 4x2 − 6y2 − 8x + 24y − 44 = 0 so that you can use the rewritten equation to relate this equ      Log On


   



Question 334885: Complete the square on both the x and y term to rewrite the equation
4x2 − 6y2 − 8x + 24y − 44 = 0 so that you can use the rewritten equation to relate
this equation to one whose graph is a conic section. Then sketch its graph.

Answer by Fombitz(32388) About Me  (Show Source):
You can put this solution on YOUR website!
4x%5E2-+6y%5E2+-+8x+%2B+24y+-+44+=+0+
4x%5E2-8x-+6y%5E2+%2B+24y+-+44+=+0+
4%28x%5E2-2x%2B1%29-6%28y%5E2-4y%2B4%29-44=4-24
4%28x-1%29%5E2-6%28y-2%29%5E2=4-24%2B44
4%28x-1%29%5E2-6%28y-2%29%5E2=24
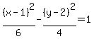
%28x-1%29%5E2%2F6-%28y-2%29%5E2%2F4=1
Unequal coefficients, unequal signs, this is a hyperbola.