SOLUTION: if sin x = -1/3 and pi < x < 3pi/2, find the value of sin2x and cos2x

Algebra ->  Trigonometry-basics -> SOLUTION: if sin x = -1/3 and pi < x < 3pi/2, find the value of sin2x and cos2x      Log On


   



Question 334159: if sin x = -1/3 and pi < x < 3pi/2, find the value of sin2x and cos2x
Answer by Fombitz(32388) About Me  (Show Source):
You can put this solution on YOUR website!
sin%28x%29=-1%2F3
sin%28x%29%5E2%2Bcos%28x%29%5E2=1
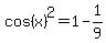
%281%2F9%29%2Bcos%28x%29%5E2=1
cos%28x%29%5E2=1-1%2F9
cos%28x%29%5E2=8%2F9
cos%28x%29=-%282sqrt%282%29%29%2F3
.
.
.
sin%282x%29=2sin%28x%29cos%28x%29
.
.
.
sin%282x%29=2%28-1%2F3%29%28-%282sqrt%282%29%29%2F3%29
highlight%28sin%282x%29=%284sqrt%282%29%29%2F9%29
.
.
.
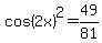
sin%282x%29%5E2%2Bcos%282x%29%5E2=1
32%2F81%2Bcos%282x%29%5E2=1
cos%282x%29%5E2=1-32%2F81
cos%282x%29%5E2=49%2F81
highlight%28cos%282x%29=7%2F9%29