SOLUTION: Name the axis to which the major axis is parallel and find the center of 9(x+1)^2+27(y-1)^2=81

Algebra ->  Trigonometry-basics -> SOLUTION: Name the axis to which the major axis is parallel and find the center of 9(x+1)^2+27(y-1)^2=81      Log On


   



Question 334132: Name the axis to which the major axis is parallel and find the center of 9(x+1)^2+27(y-1)^2=81
Answer by jrfrunner(365) About Me  (Show Source):
You can put this solution on YOUR website!
9%28x%2B1%29%5E2%2B27%28y-1%29%5E2=81 find center and axis which is parallel to major axis
--
9%28x%2B1%29%5E2%2B27%28y-1%29%5E2=81
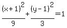
%28x%2B1%29%5E2%2F9%2B%28y-1%29%5E2%2F3=1 (put in standard form)
from this we can see that center is at (-1,1)
Since the denomiator under the x quadratic term is larger than the denominator for the y quadratic term,
the major axis runs along the X direction, therefore the major axis is parallel to the X axis