Question 326467: Three forces with magnitudes of 250 ibs 60degrees N of E, 100 ibs 30degrees N of W, and 200 ibs S act on an object. Find the direction and magnitude of the resultant force.
I have no clue how to even begin a problem like this, thank you for taking the time to look at this.
Answer by Fombitz(32388) (Show Source):
You can put this solution on YOUR website! First pick a coordinate system.
Let North be positiive y.
Let East be positive x.
Then find the x,y components of each force.
"250 lbs 60 degrees N of E"=250(cos(60),sin(60))=(125,216.5)
"100 lbs 30 degrees N of W"=100(cos(150),sin(150))= (-86.6,50)
"200 lbs S"=200(0,-1)=(0,-200)
Then sum the x and y components to get the resultant.
(Fx,Fy)=(125,216.5)+(-86.6,50)+(0,-200)
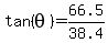
(Fx,Fy)=(38.4,66.5)
You can find the resultant magnitude and direction,



.
.
.
76.8 lbs 60 degrees North of East.
act on an object. Find the direction and magnitude of the resultant force.
|
|
|