SOLUTION: can you show the steps to verify sec(x)/(cot(x)+tan(x))=sin(x)

Algebra ->  Trigonometry-basics -> SOLUTION: can you show the steps to verify sec(x)/(cot(x)+tan(x))=sin(x)      Log On


   



Question 297153: can you show the steps to verify sec(x)/(cot(x)+tan(x))=sin(x)
Answer by Fombitz(32388) About Me  (Show Source):
You can put this solution on YOUR website!
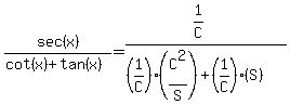
sec%28x%29%2F%28cot%28x%29%2Btan%28x%29%29=sin%28x%29
Let +S=sin%28x%29+ and C=cos%28x%29 then,
sec%28x%29=1%2FC, cot%28x%29=C%2FS, tan%28x%29=S%2FC
.
.
.
sec%28x%29%2F%28cot%28x%29%2Btan%28x%29%29=%281%2FC%29%2F%28C%2FS%2BS%2FC%29


sec%28x%29%2F%28cot%28x%29%2Btan%28x%29%29=S%2F%28S%2A%28C%5E2%2FS%2BS%29%29
sec%28x%29%2F%28cot%28x%29%2Btan%28x%29%29=S%2F%28C%5E2%2BS%5E2%29
sec%28x%29%2F%28cot%28x%29%2Btan%28x%29%29=S%2F%281%29
sec%28x%29%2F%28cot%28x%29%2Btan%28x%29%29=S
sec%28x%29%2F%28cot%28x%29%2Btan%28x%29%29=sin%28x%29