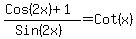
SOLUTION: I need help solving this using the Double Angle Formulas on one side only (cos2x+1)/ (sin2x) = cotx I'd appreciate the help!

Algebra ->  Trigonometry-basics -> SOLUTION: I need help solving this using the Double Angle Formulas on one side only (cos2x+1)/ (sin2x) = cotx I'd appreciate the help!      Log On


   



Question 293731: I need help solving this using the Double Angle Formulas on one side only

(cos2x+1)/ (sin2x) = cotx
I'd appreciate the help!

Answer by Edwin McCravy(20059) About Me  (Show Source):