SOLUTION: I need to solve this identity on ONE SIDE (1)/(sec&#952;+tan&#952;) - sec&#952;= tan&#952; THANK YOU <3

Algebra ->  Trigonometry-basics -> SOLUTION: I need to solve this identity on ONE SIDE (1)/(sec&#952;+tan&#952;) - sec&#952;= tan&#952; THANK YOU <3      Log On


   



Question 291221: I need to solve this identity on ONE SIDE
(1)/(secθ+tanθ) - secθ= tanθ
THANK YOU <3

Answer by jim_thompson5910(35256) About Me  (Show Source):
You can put this solution on YOUR website!
1%2F%28sec%28theta%29%2Btan%28theta%29%29-sec%28theta%29=tan%28theta%29 Start with the given equation.


Rewrite sec%28theta%29 as 1%2Fcos%28theta%29. Rewrite tan%28theta%29 as sin%28theta%29%2Fcos%28theta%29


1%2F%28%281%2Bsin%28theta%29%29%2Fcos%28theta%29%29-1%2Fcos%28theta%29=tan%28theta%29 Combine the inner fractions.


cos%28theta%29%2F%281%2Bsin%28theta%29%29-1%2Fcos%28theta%29=tan%28theta%29 Multiply by the reciprocal.


Multiply the first fraction by cos%28theta%29%2Fcos%28theta%29


Multiply the second fraction by %281%2Bsin%28theta%29%29%2F%281%2Bsin%28theta%29%29



Combine the fractions.


Distribute


Rearrange the terms.


Factor out a negative 1 from the first two terms in the numerator.


Replace 1-%28cos%28theta%29%29%5E2 with %28sin%28theta%29%29%5E2


Factor out the GCF -sin%28theta%29 from the numerator.


Rearrange the terms.


Highlight the common terms.


Cancel out the common terms.


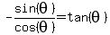
-sin%28theta%29%2Fcos%28theta%29=tan%28theta%29 Simplify


-tan%28theta%29=tan%28theta%29 Use the identity tan%28theta%29=sin%28theta%29%2Fcos%28theta%29



So this show us that 1%2F%28sec%28theta%29%2Btan%28theta%29%29-sec%28theta%29=-tan%28theta%29 for all values of theta in which are defined on tan%28theta%29. So either you left off the negative sign, or there's a typo somewhere. Double check the problem.