SOLUTION: use binomial theorem to expand the following up to 4 terms: {{{1/sqrt((4-3x^2))^3}}}

Algebra ->  Trigonometry-basics -> SOLUTION: use binomial theorem to expand the following up to 4 terms: {{{1/sqrt((4-3x^2))^3}}}      Log On


   



Question 276711: use binomial theorem to expand the following up to 4 terms:
1%2Fsqrt%28%284-3x%5E2%29%29%5E3

Found 2 solutions by Edwin McCravy, AnlytcPhil:
Answer by Edwin McCravy(20060) About Me  (Show Source):
You can put this solution on YOUR website!
1%2Fsqrt%28%284-3x%5E2%29%29%5E3

Express the denominator as the 3%2F2 power

1%2F%28%284-3x%5E2%29%5E%283%2F2%29%29

Then as a negative exponent:

%284-3x%5E2%29%5E%28-3%2F2%29

We want to get a binomial that starts with 1, not 4.

Factor out 4 in the parentheses:

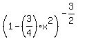
%284%281-%283%2F4%29x%5E2%29%29%5E%28-3%2F2%29

4%5E%28-3%2F2%29%281-3%2F4%29%5E%28-3%2F2%29


4%5E%28-3%2F2%29 simplifies to 1%2F8


So we have

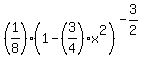
%281%2F8%29%281-%283%2F4%29x%5E2%29%5E%28-3%2F2%29

So we now expand 

%281-%283%2F4%29x%5E2%29%5E%28-3%2F2%29 and then multiply it by 1%2F8

We use the infinite binomial series:



Substituting n=-3%2F2,  %28%28n%28n-1%29%29%2F2%21%29 becomes 15%2F8

Substituting u=%283%2F4%29x%5E2, u%5E2 becomes %289%2F16%29x%5E4

Therefore %28%28n%28n-1%29%29%2F2%21%29u%5E2 becomes %2815%2F8%29%289%2F16%29x%5E4 or %28135%2F128%29x%5E4


Substituting n=-3%2F2, %28n%28n-1%29%28n-2%29%29%2F3%21 becomes -35%2F16

Substituting u=%283%2F4%29x%5E2, u%5E3 becomes %2827%2F64%29x%5E6

Therefore %28+%28n%28n-1%29%28n-2%29%29+%2F3%21%29u%5E3 becomes %28-35%2F16%29%2827%2F64%29x%5E6 or

%28-945%2F1024%29x%5E6

So the expansion to 4 terms of %281-%283%2F4%29x%5E2%29%5E%28-3%2F2%29

is

1-%283%2F2%29x%5E2%2B%2815%2F8%29x%5E4-%28945%2F1024%29x%5E6%2B%22...%22

So we multiply that by 1%2F8 and that will be the binomial
series to 4 terms.

Edwin


Answer by AnlytcPhil(1807) About Me  (Show Source):
You can put this solution on YOUR website!
1%2Fsqrt%28%284-3x%5E2%29%29%5E3

Express the denominator as the 3%2F2 power

1%2F%28%284-3x%5E2%29%5E%283%2F2%29%29

Then as a negative exponent:

%284-3x%5E2%29%5E%28-3%2F2%29

We want to get a binomial that starts with 1, not 4.

Factor out 4 in the parentheses:

%284%281-%283%2F4%29x%5E2%29%29%5E%28-3%2F2%29

4%5E%28-3%2F2%29%281-3%2F4%29%5E%28-3%2F2%29


4%5E%28-3%2F2%29 simplifies to 1%2F8


So we have

%281%2F8%29%281-%283%2F4%29x%5E2%29%5E%28-3%2F2%29

So we now expand 

%281-%283%2F4%29x%5E2%29%5E%28-3%2F2%29 and then multiply it by 1%2F8

We use the infinite binomial series:



Substituting n=-3%2F2,  %28%28n%28n-1%29%29%2F2%21%29 becomes 15%2F8

Substituting u=%283%2F4%29x%5E2, u%5E2 becomes %289%2F16%29x%5E4

Therefore %28%28n%28n-1%29%29%2F2%21%29u%5E2 becomes %2815%2F8%29%289%2F16%29x%5E4 or %28135%2F128%29x%5E4


Substituting n=-3%2F2, %28n%28n-1%29%28n-2%29%29%2F3%21 becomes -35%2F16

Substituting u=%283%2F4%29x%5E2, u%5E3 becomes %2827%2F64%29x%5E6

Therefore %28+%28n%28n-1%29%28n-2%29%29+%2F3%21%29u%5E3 becomes %28-35%2F16%29%2827%2F64%29x%5E6 or

%28-945%2F1024%29x%5E6

So the expansion to 4 terms of %281-%283%2F4%29x%5E2%29%5E%28-3%2F2%29

is

1-%283%2F2%29x%5E2%2B%2815%2F8%29x%5E4-%28945%2F1024%29x%5E6%2B%22...%22

So we multiply that by 1%2F8 and that will be the binomial
series to 4 terms.

Edwin