First let's learn where the Pythagorean identities came from,
namely the Pythagorean theorem:
By the Pythagorean theorem:
Divide through by
That's the first Pythagorean identity:
-------------------------------------
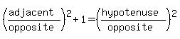
Divide through by
That's the second Pythagorean identity:
-------------------------------------
Divide through by
That's the third Pythagorean identity:
-------------------------------------
Be sure to memorize all three of them. Usually we write them
this way, so they're easier to learn:
--------------------------------------
Those identities are true for ALL angles
So for




Since the third Pythagorean identity
is true for ALL angles
, let
, then




So we can replace 
by 
So your problem:




becomes:




then the "cotangent squared"s cancel:




and that just leaves 1, which is an integer.
Edwin