SOLUTION: For the given point find the angle the radius of the unit circle ending at that point makes with the positive horizontal axis. Among the infinite number of possible correct solutio

Algebra ->  Trigonometry-basics -> SOLUTION: For the given point find the angle the radius of the unit circle ending at that point makes with the positive horizontal axis. Among the infinite number of possible correct solutio      Log On


   



Question 274900: For the given point find the angle the radius of the unit circle ending at that point makes with the positive horizontal axis. Among the infinite number of possible correct solutions, choose the one with the smallest absolute value: (-1/2) , sqrt3 over 2)
Answer by Edwin McCravy(20060) About Me  (Show Source):
You can put this solution on YOUR website!
For the given point find the angle the radius of the unit circle ending at that point makes with the positive horizontal axis. Among the infinite number of possible correct solutions, choose the one with the smallest absolute value: (-1/2) , sqrt3 over 2)

Let's do a little background first. First of all we know that 
an equilateral triangle with each of its sides equal to 1 has 
three internal 60° angles:

 

Then when we split it down the middle into two congruent
right triangles, like this:



that we split the bottom side in half, so that each part is 1%2F2. 
Then we erase the left half:



Then we can find the vertical side with the Pythagorean
theorem like this:

a%5E2%2Bb%5E2=c%5E2
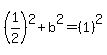
 Let "a" represnt the side that is 1%2F2 and "c" 
represent the hypotenuse which is 1, the b
will represent the unknown vertical side:

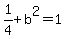
a%5E2%2Bb%5E2=c%5E2
%281%2F2%29%5E2%2Bb%5E2=%281%29%5E2
1%2F4%2Bb%5E2=1
b%5E2=1-1%2F4
b%5E2=3%2F4
b=sqrt%283%2F4%29
b=sqrt%283%29%2F2



Now notice that that triangle will fit nicely on the graph,
with its vertex at the given point (-1%2F2,sqrt%283%29%2F2) 



The angle represented by the green arc is 60°. And so obviously,
the angle represented by the red arc must be 180°-60° or 120°.

Edwin