SOLUTION: I need to write the following as an algebraic expression: sin(2arccos x)

Algebra ->  Trigonometry-basics -> SOLUTION: I need to write the following as an algebraic expression: sin(2arccos x)      Log On


   



Question 247773: I need to write the following as an algebraic expression: sin(2arccos x)
Answer by Edwin McCravy(20056) About Me  (Show Source):
You can put this solution on YOUR website!
I need to write the following as an algebraic expression: sin(2arccos x)
sin%282arccos%28x%29%29

let arccos%28x%29+=+alpha

then cos%28alpha%29=x

So draw a right triangle and label one of the acute angles alpha


 

Now we need to put values on the sides of the
triangle to cause cos%28alpha%29 to equal x.

Since the cosine is the adjacent side divided by the
hypotenuse, if we label the adjacent side as x and the
hypotenuse as 1. then cos%28alpha%29 will equal x.



Now we use the Pythagorean theorem to find the opposite
side:

adjacent%5E2+%2B+opposite%5E2=+hypotenuse%5E2

x%5E2%2Bopposite%5E2=1%5E2

x%5E2%2Bopposite%5E2=1

opposite%5E2=1-x%5E2

opposite+=+sqrt%281-x%5E2%29

So we write this on the opposite side:



Now we go back to the original problem:

sin%282arccos%28x%29%29

or

sin%282alpha%29

and we use the identity

sin%282alpha%29=2sin%28alpha%29cos%28alpha%29  

Then using the fact that the sine is the opposite over
the hypotenuse and the cosine is the adjacent over the
hypotenuse, we use the right triangle above:

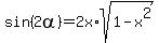
sin%282alpha%29=2sin%28alpha%29cos%28alpha%29

sin%282alpha%29=2%28%28sqrt%281-x%5E2%29%29%2F1%29%28x%2F1%29

sin%282alpha%29=2%28sqrt%281-x%5E2%29%29%28x%29

sin%282alpha%29=2x%2Asqrt%281-x%5E2%29

Edwin