SOLUTION: I think my problem with these kinds of questions is that I’m having a hard time manipulating the secant, cosine, and so on. For instance, when trying to find the exact value for ‘s

Algebra ->  Trigonometry-basics -> SOLUTION: I think my problem with these kinds of questions is that I’m having a hard time manipulating the secant, cosine, and so on. For instance, when trying to find the exact value for ‘s      Log On


   



Question 241174: I think my problem with these kinds of questions is that I’m having a hard time manipulating the secant, cosine, and so on. For instance, when trying to find the exact value for ‘sec 5π/12’; I know that sec=1/cos and I believe that I’m pretty much set up to use a sum difference identity but don’t think that I can just ...safetly assume that 1/cos=cos and I don’t know if I can honestly say how to change 1/cos into cos so I can use the identity. Also, I want to try my best to finish the rest on my own (that’s why I picked only one question). If anyone has any tips on handling Trig indentities and Trigonometry in general, I’d appreciate the advice. Thanks! ^_^
Answer by jsmallt9(3758) About Me  (Show Source):
You can put this solution on YOUR website!
Whenever a Trig problem refers to "exact values" you will end up using angles that are multiples of 30 or 45 degrees (or pi%2F6 or pi%2F4 radians).

Since you are looking for the exact value of sec%285pi%2F12%29 we have to find a way to express 5pi%2F12 in terms of multiples of pi%2F6 and/or pi%2F4. This expression can be a sum or a difference. The expression can be twice or half a special angle. And this expression can be some combination of any of these.

So what expression of multiples of pi%2F6 and/or pi%2F4 equals 5pi%2F12? There are probably others but the one that is most obvious to me is: %281%2F2%29%285pi%2F6%29+=+5pi%2F12. SO we will be using half-angle formulas.

There is no half-angle formula for sec, so we will find cos%285pi%2F12%29 and then find its reciprocal to get the sec:
cos%28%281%2F2%29%285pi%2F6%29%29+=+sqrt%28%281+%2B+cos%285pi%2F6%29%29%2F2%29
(The cos%28%281%2F2%29x%29 formula has a "+-" in front of the square root. However, since 5pi%2F12+%3C+pi%2F2, 5pi%2F12 is in the first quadrant. And since 5pi%2F12 is in the first quadrant where all Trig functions are positive, we will discard the "-" and use the positive square root.)

Now we just find cos%285pi%2F6%29, substitute and simplify. 5pi%2F6 is in the second quadrant where cos is negative. And its reference angle is pi%2F6. Together this makes cos%285pi%2F6%29+=+%28-sqrt%283%29%2F2%29. Substituting this into our equation we get:
cos%28%281%2F2%29%285pi%2F6%29%29+=+sqrt%28%281+%2B+%28-sqrt%283%29%2F2%29%29%2F2%29
To simplify this we will start by eliminating the fraction within a fraction. We can do this my multiplying the numerator and denominator of the "big" fraction by the LCD of the "little" fraction(s). Since there is only one "little" fraction, we will use its denominator, 2:

which simplifies to:
cos%28%281%2F2%29%285pi%2F6%29%29+=+sqrt%28%282+%2B+%28-sqrt%283%29%29%29%2F4%29
Using the property, sqrt%28a%2Fb%29+=++sqrt%28a%29%2Fsqrt%28b%29:
cos%28%281%2F2%29%285pi%2F6%29%29+=+sqrt%28%282+%2B+%28-sqrt%283%29%29%29%29%2Fsqrt%284%29
which simplifies to:
cos%285pi%2F12%29+=+sqrt%282+%2B+%28-sqrt%283%29%29%29%2F2
Now we can find the sec by finding the reciprocal of cos:
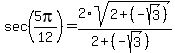
sec%285pi%2F12%29+=+2%2Fsqrt%282+%2B+%28-sqrt%283%29%29%29
This may be an acceptable answer. However, the denominator is not rational. If you want rationalized denominators:

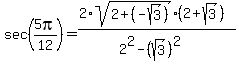
sec%285pi%2F12%29+=+2%2Asqrt%282+%2B+%28-sqrt%283%29%29%29%2F%282+%2B+%28-sqrt%283%29%29%29



sec%285pi%2F12%29+=+%282%2Asqrt%282+%2B+%28-sqrt%283%29%29%29%2A%282%2Bsqrt%283%29%29%29%2F1
sec%285pi%2F12%29+=+2%2Asqrt%282+%2B+%28-sqrt%283%29%29%29%2A%282%2Bsqrt%283%29%29
I'll leave it up to you to multiply this out.