SOLUTION: -6-4y=-24 2x+7y=13

Algebra ->  Trigonometry-basics -> SOLUTION: -6-4y=-24 2x+7y=13      Log On


   



Question 227714: -6-4y=-24
2x+7y=13

Answer by drj(1380) About Me  (Show Source):
You can put this solution on YOUR website!
-6-4y=-24 Equation A (see Step 8 if you meant -6x-4y=-24)
2x+7y=13 Equation B

Step 1. Solve for y in Equation A -6-4y=-24.

Step 2. Add 6 to both sides of the equation

-6-4y%2B6=-24%2B6

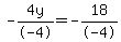
-4y=-18

Step 3. Divide by -4 to both sides of the equation

-4y%2F-4=-18%2F-4

y=18%2F4=9%2F2

Step 4. Now substitute y=9%2F2 into 2x%2B7y=13.

2x%2B7%2A%289%2F2%29=13

2x%2B63%2F2=26%2F2

Step 5. Subtract 63%2F2 from both sides of the equation

2x%2B63%2F2-63%2F2=26%2F2-63%2F2

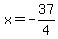
2x=-37%2F2

Step 6. Divide by 2 to both sides of the equation

2x%2F2=-37%2F%282%2A2%29

x=-37%2F4

Step 7. ANSWER: x=-37%2F4 and y=9%2F2

Step 8. Now, I'll assume you meant to solve the following linear system of equations

-6x-4y=-24 Equation A
2x+7y=13 Equation B

Solved by pluggable solver: SOLVE linear system by SUBSTITUTION
Solve:
+system%28+%0D%0A++++-6%5Cx+%2B+-4%5Cy+=+-24%2C%0D%0A++++2%5Cx+%2B+7%5Cy+=+13+%29%0D%0A++We'll use substitution. After moving -4*y to the right, we get:
-6%2Ax+=+-24+-+-4%2Ay, or x+=+-24%2F-6+-+-4%2Ay%2F-6. Substitute that
into another equation:
2%2A%28-24%2F-6+-+-4%2Ay%2F-6%29+%2B+7%5Cy+=+13 and simplify: So, we know that y=0.882352941176471. Since x+=+-24%2F-6+-+-4%2Ay%2F-6, x=3.41176470588235.

Answer: system%28+x=3.41176470588235%2C+y=0.882352941176471+%29.




I hope the above steps were helpful.

For FREE Step-By-Step videos in Introduction to Algebra, please visit http://www.FreedomUniversity.TV/courses/IntroAlgebra and for Trigonometry visit http://www.FreedomUniversity.TV/courses/Trigonometry.

And good luck in your studies!

Respectfully,
Dr J
http://www.FreedomUniversity.TV
















I hope the above steps were helpful.

For FREE Step-By-Step videos in Introduction to Algebra, please visit http://www.FreedomUniversity.TV/courses/IntroAlgebra and for Trigonometry visit http://www.FreedomUniversity.TV/courses/Trigonometry.

And good luck in your studies!

Respectfully,
Dr J
http://www.FreedomUniversity.TV