SOLUTION: Prove this identity {{{ (sin2x + cos2x -1) / (sin2x + cos2x +1) }}} = {{{ (1 - tanx )/ (1+cotx) }}}

Algebra ->  Trigonometry-basics -> SOLUTION: Prove this identity {{{ (sin2x + cos2x -1) / (sin2x + cos2x +1) }}} = {{{ (1 - tanx )/ (1+cotx) }}}      Log On


   



Question 217331: Prove this identity
+%28sin2x+%2B+cos2x+-1%29+%2F+%28sin2x+%2B+cos2x+%2B1%29+ = +%281+-+tanx+%29%2F+%281%2Bcotx%29+

Answer by drj(1380) About Me  (Show Source):
You can put this solution on YOUR website!
Prove this identity

+%28sin2x+%2B+cos2x+-1%29+%2F+%28sin2x+%2B+cos2x+%2B1%29+ = +%281+-+tanx+%29%2F+%281%2Bcotx%29+

Step 1. sin2x=2cosxsinx, cos2x=%28cosx%29%5E2-%28sinx%29%5E2=1-2%28sinx%29%5E2, %28sin+x%29%5E2%2B%28cos+x%29%5E2=1, and tanx=sinx%2Fcosx

Step 2. Let's work the numerator:

+sin2x+%2B+cos2x+-1+=++2cosxsinx%2B1-2%28sinx%29%5E2-1

+sin2x+%2B+cos2x-1+=+2+cosxsinx-2%28sin+x%29%5E2

Factor+2%28sin+x%29%5E2

+sin2x+%2B+cos2x-1+=+%28cosx%2Fsinx-+1%292%28sin+x%29%5E2

+sin2x%2Bcos2x-1=%28cotx-1%292%28sinx%29%2A2

Step 3. Let's work with the denominator: sin2x+%2B+cos2x+%2B1

+sin2x+%2B+cos2x+%2B+1+=++2cosxsinx%2B2%28cosx%29%5E2-1%2B1

+sin2x+%2B+cos2x%2B1+=+2+cosxsinx%2B2%28cos+x%29%5E2

Factor+2%28cos+x%29%5E2

+sin2x+%2B+cos2x%2B1+=+%28sinx%2Fcosx%2B1%292%28cos+x%29%5E2

+sin2x%2Bcos2x%2B1=%28tanx%2B1%292%28cosx%29%5E2


Step 4. Now combine the equations Step 3 and 4

+%28sin2x+%2B+cos2x+-1%29+%2F+%28sin2x+%2B+cos2x+%2B1%29+ = %28%28cotx-1%292%28sinx%29%2A2%29%2F%28tanx%2B1%292%28cosx%29%5E2%29

But %28sinx%29%5E2%2F%28cox%29%5E2=tanx%2Fcotx

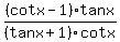
+%28sin2x+%2B+cos2x+-1%29+%2F+%28sin2x+%2B+cos2x+%2B1%29+ = %28cotx-1%29%2Atanx%2F%28tanx%2B1%29cotx

+%28sin2x+%2B+cos2x+-1%29+%2F+%28sin2x+%2B+cos2x+%2B1%29+ = %281-tanx%29%2F%281%2Bcotx%29

Step 5 ANSWER: +%28sin2x+%2B+cos2x+-1%29+%2F+%28sin2x+%2B+cos2x+%2B1%29+ = %281-tanx%29%2F%281%2Bcotx%29