SOLUTION: write an equation of the sine function with amplitude 3,period 3pi/2, and phase shift pi/4 a)y=3sin(3x/2 - pi/4) b)y=-3sin(4x/3 - pi/4) c)y=-3sin(3x/2 - 3pi/8) d)y=3sin(4x/3

Algebra ->  Trigonometry-basics -> SOLUTION: write an equation of the sine function with amplitude 3,period 3pi/2, and phase shift pi/4 a)y=3sin(3x/2 - pi/4) b)y=-3sin(4x/3 - pi/4) c)y=-3sin(3x/2 - 3pi/8) d)y=3sin(4x/3       Log On


   



Question 212798: write an equation of the sine function with amplitude 3,period 3pi/2, and phase shift pi/4
a)y=3sin(3x/2 - pi/4)
b)y=-3sin(4x/3 - pi/4)
c)y=-3sin(3x/2 - 3pi/8)
d)y=3sin(4x/3 - pi/3)

Answer by Edwin McCravy(20081) About Me  (Show Source):
You can put this solution on YOUR website!
write an equation of the sine function with amplitude 3,period 3pi/2, and phase shift pi/4
a)y=3sin(3x/2 - pi/4)
b)y=-3sin(4x/3 - pi/4)
c)y=-3sin(3x/2 - 3pi/8)
d)y=3sin(4x/3 - pi/3)
 
y+=+Asin%28Bx-C%29, with B and C positive.

has amplitude abs%28A%29, period 2pi%2FB, and phase shift C%2FB,
The shift is right if C is positive and left if C 
is negative.

We'll test each possible answer:

a)y=3sin%283x%2F2+-+pi%2F4%29

has amplitude abs%28A%29=abs%283%29=3, 
period +2pi%2FB=%282pi%29%2F%283%2F2%29=%282pi%29%282%2F3%29+=+4pi%2F3+
and phase shift C%2FB=%28pi%2F4%29%2F%283%2F2%29=%28pi%2F4%29%282%2F3%29=2pi%2F12=pi%2F6.

b)y=-3sin%284x%2F3+-+pi%2F4%29

has amplitude abs%28A%29=abs%28-3%29=3, 
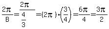
period 2pi%2FB=%282pi%29%2F%284%2F3%29=%282pi%29%283%2F4%29+=+6pi%2F4=3pi%2F2
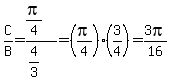
and phase shift C%2FB=%28pi%2F4%29%2F%284%2F3%29=%28pi%2F4%29%283%2F4%29=3pi%2F16.

c)y=-3sin%283x%2F2+-+3pi%2F8%29

has amplitude abs%28A%29=abs%283%29=3, 
period 2pi%2FB=%282pi%29%2F%283%2F2%29=%282pi%29%282%2F3%29+=+4pi%2F3
and phase shift C%2FB=%283pi%2F8%29%2F%283%2F2%29=%283pi%2F8%29%282%2F3%29=6pi%2F24=pi%2F4.

d)y=3sin%284x%2F3+-+pi%2F3%29

has amplitude abs%28A%29=abs%283%29=3, 
period 2pi%2FB=%282pi%29%2F%284%2F3%29=%282pi%29%283%2F4%29+=+6pi%2F4=3pi%2F2
and phase shift C%2FB=%28pi%2F3%29%2F%284%2F3%29=%28pi%2F3%29%283%2F4%29=3pi%2F12=pi%2F4

So (d) is the only correct choice.

Edwin