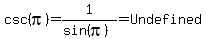
SOLUTION: Evaluate the quadrantal angle csc pie.
Algebra
->
Trigonometry-basics
-> SOLUTION: Evaluate the quadrantal angle csc pie.
Log On
Algebra: Trigonometry
Section
Solvers
Solvers
Lessons
Lessons
Answers archive
Answers
Click here to see ALL problems on Trigonometry-basics
Question 207943
:
Evaluate the quadrantal angle csc pie.
Answer by
rapaljer(4671)
(
Show Source
):
You can
put this solution on YOUR website!
R^2