is not a special angle, however and
are. And , so we can use this formula:
where and :
Multiply top and bottom by
Rationalize the denominator:
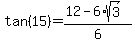
=
.
Check by using your calculator.
Then find the decimal value for
So it checks.
So the answer is
Edwin
You can put this solution on YOUR website! The only "exact values" for Trigonometric functions which can be found are for 0, 30, 45, 60, 90 degress (and for angles whose reference angles are these). So the only way to find the excat value of tan(15) is to express the tan(15) in terms of these other angles.
Since 15 = 1/2 of 30 we could use the 1/2 angle formula:
where x = 30:
Since and :
Change the division by 1/2 to mutiplying by 2/1:
Another way would be to use the fact that 15 = 45 - 30 and use the difference formula
with a = 45 and b = 30:
Since and :
Multiplying the top and bottom by 3:
Next we rationalize the denominator by mulitplying by its conjugate: :
Factoring out 6 on top:
Canceling the common factor of 6: