SOLUTION: could you guide me about this? I dont have any idea to solve this kind of exercises and I don't know what do I have to do.Thanks. Use the fundamental identities to find all of the

Algebra ->  Trigonometry-basics -> SOLUTION: could you guide me about this? I dont have any idea to solve this kind of exercises and I don't know what do I have to do.Thanks. Use the fundamental identities to find all of the      Log On


   



Question 203931: could you guide me about this? I dont have any idea to solve this kind of exercises and I don't know what do I have to do.Thanks.
Use the fundamental identities to find all of the trigonometric ratios if the variable satisfies the given conditions.
a) sin x=12/13 and cos x<0
b)cos x =-4/3 , sinx>0
c)tan x = -24/7 , sinx>0
d)tan x = 4/3 , sinx>0
e)cot x= 4 , sinx>0
f)cos x=3/5
p.s: I've written all cause I've thought maybe there are different points.

Found 2 solutions by Alan3354, Edwin McCravy:
Answer by Alan3354(69443) About Me  (Show Source):
You can put this solution on YOUR website!
Use the fundamental identities to find all of the trigonometric ratios if the variable satisfies the given conditions.
a) sin x=12/13 and cos x<0
cos^2 = 1 - sin^2
cos^2 = 1 - 144/169 = 25/169
cos = 5/13
x = arccos(5/13) = arccos(-5/13)
x = ~ -67.38º
------------------
b)cos x =-4/3 , sinx>0
c)tan x = -24/7 , sinx>0
d)tan x = 4/3 , sinx>0
e)cot x= 4 , sinx>0
f)cos x=3/5

Answer by Edwin McCravy(20063) About Me  (Show Source):
You can put this solution on YOUR website!

Edwin's solution:


a) Sin%28x%29=12%2F13 and Cos%28x%29%3C0

The sine is positive and the cosine is negative
only in quadrant II

To find Cos%28x%29:

Sin%5E2x%2BCos%5E2x=1 <-- fundamental identity to use
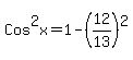
Cos%5E2x=1-Sin%5E2x
Cos%5E2x=1-%2812%2F13%29%5E2
Cos%5E2x=1-144%2F169
Cos%5E2x=169%2F169-144%2F169
Cos%5E2x=25%2F169
Cos%28x%29=%22%22%2B-sqrt%2825%2F169%29

But we are given that Cos%28x%29%3C0
so we choose the negative answer for Cos%28x%29,
therefore:
Cos%28x%29=-sqrt%2825%2F169%29
Cos%28x%29=-5%2F13%29

------------------

To find Tan%28x%29:

Tan%28x%29=Sin%28x%29%2FCos%28x%29   <-- fundamental identity to use.



------------------

To find Sec%28x%29

Sec%28x%29+=+1%2FCos%28x%29   <--- fundamental identity to use

Sec%28x%29+=+1%2F%28-5%2F13%29+=+1%2A%28-13%2F5%29+=+-13%2F5

-------------------

To find Csc%28x%29

Csc%28x%29+=+1%2FSin%28x%29   <--- fundamental identity to use

Csc%28x%29+=+1%2F%2812%2F13%29+=+1%2A%2813%2F12%29+=+13%2F12

==================================================

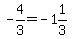
b)Cos%28x%29+=-4%2F3 , Sin%28x%29%3E0

Sorry this is a mistake because -4%2F3=-1%261%2F3 and 
cosines are always between -1 and 1.

So if you didn't copy it wrong, then there
is no solution!

=================================================

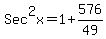
c) Tan%28x%29+=+-24%2F7 , Sin%28x%29%3E0

The tangent is negative and the sine is positive
only in quadrant II

To find Sec%28x%29:

1%2BTan%5E2x=Sec%5E2x <-- fundamental identity to use
Sec%5E2x=1%2BTan%5E2x
Sec%5E2x=1%2B%28-24%2F7%29%5E2
Sec%5E2x=1%2B576%2F49
Sec%5E2x=49%2F49%2B576%2F49
Sec%5E2x=625%2F49
Sec%28x%29=%22%22%2B-sqrt%28625%2F49%29

But since this is in Quadrant II, the secant, which
is the reciprocal of the cosine, is negative, we choose 
the negative answer for Sec%28x%29, therefore:

Sec%28x%29=-sqrt%28625%2F49%29
Sec%28x%29=-25%2F7%29

------------------

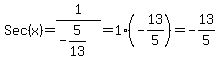
To find Cos%28x%29:

Sec%28x%29=1%2FCos%28x%29   <-- fundamental identity to use.

Sec%28x%29Cos%28x%29=1

Cos%28x%29=1%2FSec%28x%29=1%2F%28-25%2F7%29=1%2A%28-7%2F25%29=-7%2F25

------------------
To find Sin%28x%29:

Sin%5E2x%2BCos%5E2x=1 <-- fundamental identity to use
Sin%5E2x=1-Cos%5E2x
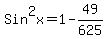
Sin%5E2x=1-%28-7%2F25%29%5E2
Sin%5E2x=1-49%2F625
Sin%5E2x=625%2F625-49%2F625
Sin%5E2x=576%2F625
Sin%28x%29=%22%22%2B-sqrt%28576%2F625%29

But we are given that Sin%28x%29%3E0
so we choose the positive answer for Sin%28x%29,
therefore:
Sin%28x%29=sqrt%28576%2F625%29
Sin%28x%29=24%2F25%29

-------------------

To find Csc%28x%29

Csc%28x%29+=+1%2FSin%28x%29   <--- fundamental identity to use

Csc%28x%29+=+1%2F%2824%2F25%29+=+1%2A%2825%2F24%29+=+25%2F24

-------------------

To find Cot%28x%29:

Cot%28x%29=1%2FTan%28x%29   <-- fundamental identity to use.

Cot%28x%29=1%2FTan%28x%29=1%2F%28-24%2F7%29=1%2A%28-7%2F24%29=-7%2F24

==================================================

d) Tan%28x%29+=+4%2F3, Sin%28x%29%3E0

The tangent is positive and the sine is positive
only in quadrant I, so all trigonometric ratios are
positive:

To find Sec%28x%29:

1%2BTan%5E2x=Sec%5E2x <-- fundamental identity to use
Sec%5E2x=1%2BTan%5E2x
Sec%5E2x=1%2B%284%2F3%29%5E2
Sec%5E2x=1%2B16%2F9
Sec%5E2x=9%2F9%2B16%2F9
Sec%5E2x=25%2F9
Sec%28x%29=%22%22%2B-sqrt%2825%2F9%29

But since this is in Quadrant I, all trig rations are
positive therefore:

Sec%28x%29=sqrt%2825%2F9%29
Sec%28x%29=5%2F3%29

------------------

To find Cos%28x%29:

Sec%28x%29=1%2FCos%28x%29   <-- fundamental identity to use.

Sec%28x%29Cos%28x%29=1

Cos%28x%29=1%2FSec%28x%29=1%2F%285%2F3%29=1%2A%283%2F5%29=3%2F5

------------------
To find Sin%28x%29:

Sin%5E2x%2BCos%5E2x=1 <-- fundamental identity to use
Sin%5E2x=1-Cos%5E2x
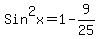
Sin%5E2x=1-%283%2F5%29%5E2
Sin%5E2x=1-9%2F25
Sin%5E2x=25%2F25-9%2F25
Sin%5E2x=16%2F25
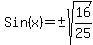
Sin%28x%29=%22%22%2B-sqrt%2816%2F25%29

But we are given that Sin%28x%29%3E0
so we choose the positive answer for Sin%28x%29,
therefore:
Sin%28x%29=sqrt%2816%2F25%29
Sin%28x%29=4%2F5%29

-------------------

To find Csc%28x%29

Csc%28x%29+=+1%2FSin%28x%29   <--- fundamental identity to use

Csc%28x%29+=+1%2F%284%2F5%29+=+1%2A%285%2F4%29+=+5%2F4

-------------------

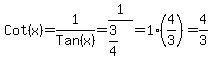
To find Cot%28x%29:

Cot%28x%29=1%2FTan%28x%29   <-- fundamental identity to use.

Cot%28x%29=1%2FTan%28x%29=1%2F%283%2F4%29=1%2A%284%2F3%29=4%2F3

-------------------------------

e) Cot%28x%29=+4 , sinx>0

The cotangent is positive and the sine is positive
only in quadrant I, so all trigonometric ratios are
positive:

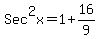
To find Csc%28x%29:

1%2BCot%5E2x=Csc%5E2x <-- fundamental identity to use
Csc%5E2x=1%2BCot%5E2x
Sec%5E2x=1%2B%284%29%5E2
Sec%5E2x=1%2B16
Sec%5E2x=17
Sec%28x%29=%22%22%2B-sqrt%2817%29

But since this is in Quadrant I, all trig ratios are
positive therefore:

Sec%28x%29=sqrt%2817%29

------------------

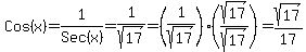
To find Cos%28x%29:

Sec%28x%29=1%2FCos%28x%29   <-- fundamental identity to use.

Sec%28x%29Cos%28x%29=1



------------------
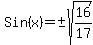
To find Sin%28x%29:

Sin%5E2x%2BCos%5E2x=1 <-- fundamental identity to use
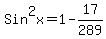
Sin%5E2x=1-Cos%5E2x
Sin%5E2x=1-%28sqrt%2817%29%2F17%29%5E2
Sin%5E2x=1-17%2F289
Sin%5E2x=289%2F289-17%2F289
Sin%5E2x=272%2F289
Sin%5E2x=16%2F17
Sin%28x%29=%22%22%2B-sqrt%2816%2F17%29

But we are given that Sin%28x%29%3E0
so we choose the positive answer for Sin%28x%29,
therefore:
Sin%28x%29=sqrt%2816%2F17%29


-------------------

To find Csc%28x%29

Csc%28x%29+=+1%2FSin%28x%29   <--- fundamental identity to use

Csc%28x%29+=+1%2F%284%2Fsqrt%2817%29%29+=+1%2A%28sqrt%2817%29%2F4%29+=+sqrt%2817%29%2F4

-------------------

To find Cot%28x%29:

Cot%28x%29=1%2FTan%28x%29   <-- fundamental identity to use.

Cot%28x%29=1%2FTan%28x%29=1%2F%28%284%29%29=1%2F4

=====================================================

f) Cos%28x%29=3%2F5 

You didn't give enough information, as you need to be
given that another trig ratio is >0 or <0.

Edwin