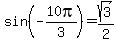
SOLUTION: Please help me on the following question: Find the exact value of sin(-10π/3)
Algebra
->
Trigonometry-basics
-> SOLUTION: Please help me on the following question: Find the exact value of sin(-10π/3)
Log On
Algebra: Trigonometry
Section
Solvers
Solvers
Lessons
Lessons
Answers archive
Answers
Click here to see ALL problems on Trigonometry-basics
Question 190623
:
Please help me on the following question:
Find the exact value of sin(-10π/3)
Answer by
jim_thompson5910(35256)
(
Show Source
):
You can
put this solution on YOUR website!
Here's the unit circle for reference:
Start with the given expression.
Use the identity
Take note that
Break up
to get
Use the identity
to expand
Take the sine of
to get 0. Take the cosine of
to get 1 (use the unit circle).
Multiply
Simplify
Take note that
Break up
to get
Use the identity
to expand
Take the sine of
to get 0. Take the cosine of
to get -1 (use the unit circle).
Multiply
Simplify
Evaluate the sine of
to get
(use the unit circle).
So