SOLUTION: Convert to parametric form: (x-2)²/16 + (y-1)²/25 = 1. Please help me!!!

Algebra ->  Trigonometry-basics -> SOLUTION: Convert to parametric form: (x-2)²/16 + (y-1)²/25 = 1. Please help me!!!      Log On


   



Question 183261: Convert to parametric form: (x-2)²/16 + (y-1)²/25 = 1. Please help me!!!
Answer by jim_thompson5910(35256) About Me  (Show Source):
You can put this solution on YOUR website!
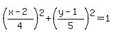
%28x-2%29%5E2%2F16+%2B+%28y-1%29%5E2%2F25+=+1 Start with the given equation.


%28%28x-2%29%2F4%29%5E2+%2B+%28%28y-1%29%2F5%29%5E2+=+1 Rewrite %28x-2%29%5E2%2F16 as %28%28x-2%29%2F4%29%5E2. Rewrite %28y-1%29%5E2%2F25 as %28%28y-1%29%2F5%29%5E2


Now since %28cos%28t%29%29%5E2%2B%28sin%28t%29%29%5E2=1 for all "t", this means that





So %28cos%28t%29%29%5E2=%28%28x-2%29%2F4%29%5E2 and %28sin%28t%29%29%5E2=%28%28y-1%29%2F5%29%5E2


-------------------------------------------------

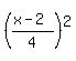
%28cos%28t%29%29%5E2=%28%28x-2%29%2F4%29%5E2 Start with the first equation.


cos%28t%29=%28x-2%29%2F4 Take the square root of both sides.


4%2Acos%28t%29=x-2 Multiply both sides by 4.


4%2Acos%28t%29%2B2=x Add 2 to both sides.


So the first parametric equation is x=4%2Acos%28t%29%2B2


------------------------------------------------------------

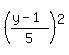
%28sin%28t%29%29%5E2=%28%28y-1%29%2F5%29%5E2 Start with the first equation.


sin%28t%29=%28y-1%29%2F5 Take the square root of both sides.


5%2Asin%28t%29=y-1 Multiply both sides by 5.


5%2Asin%28t%29%2B1=y Add 1 to both sides.


So the second parametric equation is y=5%2Asin%28t%29%2B1


====================================================

Answer:

So the parametric equations are:

x=4%2Acos%28t%29%2B2
y=5%2Asin%28t%29%2B1