Question 170144: I'm attempting to do corrections on a test, but these three questions are giving me trouble! I've tried several different things, and I keep coming up with the same (wrong!) answer!
1) If is an angle in quadrant 4 and , find the value of   .
2) What is the solution set of the equation
= in the interval ?
3) Find the solution set of over the domain °.
Found 2 solutions by stanbon, Edwin McCravy: Answer by stanbon(75887) (Show Source):
You can put this solution on YOUR website! 1) If x is an angle in quadrant 4 and cotx= -7/24, find the value of
sin[(1/2)x].
If cotx = -7/24, x = 7 and y = -24
Then r = sqrt(7^2 + 24^2) = 25
------------
sin[(1/2)x] = sqrt[(1-cos(x))/2]
So, sin[(1/2)x] = sqrt[(1-(7/25))/2] = sqrt[9/25] = 3/5
=============================================================
2) What is the solution set of the equation sin(2x)-cos^2(x+1) = sin^2(x)+sinx in the interval 0
Comment: That is a mess to analyze. Graph the left side and the right side
separagely and see where they intersect under the condition the 0
=============================================================
3) Find the solution set of 6sinx + 11= 2cscx over the domain 0
Multiply thru by sin(x) to get:
6sin^2(x) + 11sin(x) - 2 = 0
---
Let w = sin(x)
Substitute to get:
6w^2 + 11w - 2 = 0
6w^2 +12w - w -2= 0
6w(w+2) -(w+2) = 0
(w+2)(6w-1) = 0
w = -2 or w = 1/6
-----
Solve for x:
sin(x) = -2 or sin(x)= 1/6
sin(x) cannot be -2.
If sin(x) = 1/6, x = 9.594.. degrees or 170.41 degrees
========================================================
Cheers,
Stan H.
Answer by Edwin McCravy(20060) (Show Source):
You can put this solution on YOUR website! Stanbon's solution is correct but he does not do problem 2 and he does not explain why we know to take the positive square root in 1.
Edwin's solution:
1) If is an angle in quadrant 4 and , find the value of   .
Since this involves drawing a graph in which represents
the horizontal axis, not an angle, I will temporarily change
to to avoid a conflict of letters. Change
the problem to read this way:
1) If is an angle in quadrant 4 and , find the value of   .
We must use the identity:
   
However we do not know
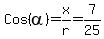
So we must first draw the picture of the angle :
We know that is by definition , we
can draw the angle in the 4th quadrant with referent angle
is inside a triangle whose horizontal side is taken
to be the numerator of , considered positive because
it goes right of the y-axis, and whose vertical side is taken as
the denominator , taken negative because it goes down
below the x-axis:
Next we calculate by the Pythagorean theorem:
So we label the slanted line segment .
Now we can find
So we substitute for in
   
   
   
   
   
   
   ±
Next we must decide whether this is positive or negative:
Since is is the 4th quadrant, then
° so multiplying that through by
 °
The means  is in quadrant 2. Since
the sine is positive in the 2nd quadrant, the final answer
is
 
And of course now that we have the answer we can change
back to :
 
2) What is the solution set of the equation
= in the interval ?
Use the identity to replace on the
left side:
=
=
=
=
=
Now use identity to
replace
=
Factor out
=
Use the zero-factor principle:
3) Find the solution set of over the domain °.
Use identity
Multiply through by
Use the zero-factor principle:
Edwin
|
|
|