SOLUTION: I need help verifying these identities. {{{Sin(x)Cos(x)+Cos^2x = Cos(x)(1+Cot(x))/Csc(x)}}} AND {{{(Sec(x)-Tan(x))^2 + (Sec(x)+Tan(x))^2 = 2+4Tan^2x}}}

Algebra ->  Trigonometry-basics -> SOLUTION: I need help verifying these identities. {{{Sin(x)Cos(x)+Cos^2x = Cos(x)(1+Cot(x))/Csc(x)}}} AND {{{(Sec(x)-Tan(x))^2 + (Sec(x)+Tan(x))^2 = 2+4Tan^2x}}}      Log On


   



Question 168554: I need help verifying these identities.
Sin%28x%29Cos%28x%29%2BCos%5E2x+=+Cos%28x%29%281%2BCot%28x%29%29%2FCsc%28x%29
AND
%28Sec%28x%29-Tan%28x%29%29%5E2+%2B+%28Sec%28x%29%2BTan%28x%29%29%5E2+=+2%2B4Tan%5E2x

Answer by Edwin McCravy(20056) About Me  (Show Source):
You can put this solution on YOUR website!
): I need help verifying these identities.


Sin%28x%29Cos%28x%29%2BCos%5E2x+=+Cos%28x%29%281%2BCot%28x%29%29%2FCsc%28x%29
 
Work with the right 
side.  Substitute
Cos%28x%29%2FSin%28x%29
for Cot%28x%29 and
substitute 1%2FSin%28x%29
for Csc%28x%29
 
                      = %28Cos%28x%29%281%2BCos%28x%29%2FSin%28x%29%29%29%2F%281%2FSin%28x%29%29
Distribute out the
numerator:
                      = +%28Cos%28x%29%2BCos%5E2x%2FSin%28x%29%29%2F%281%2FSin%28x%29%29
 
Put a 1 under the 
Cos%28x%29 so everything
will be a fraction 
                      = +%28Cos%28x%29%2F1%2BCos%5E2x%2FSin%28x%29%29%2F%281%2FSin%28x%29%29


Invert the fraction
in the denominator 
and multiply:
 
                      = +%28Cos%28x%29%2F1%2BCos%5E2x%2FSin%28x%29+%29%2A%28+Sin%28x%29%2F1+%29
 
Swap the fraction factors:

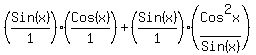
                      = %28+Sin%28x%29%2F1+%29%2A%28Cos%28x%29%2F1%2BCos%5E2x%2FSin%28x%29+%29                   
 
 
Distribute:

                      =  

                      = 

                      = Sin%28x%29Cos%28x%29%2BCos%5E2x

AND 
%28Sec%28x%29-Tan%28x%29%29%5E2+%2B+%28Sec%28x%29%2BTan%28x%29%29%5E2+=+2%2B4Tan%5E2x

Work with the left side. 
Square out the two 
binomials:

%28Sec%28x%29-Tan%28x%29%29%5E2+%2B+%28Sec%28x%29%2BTan%28x%29%29%5E2 =




 
2Sec%5E2x+%2B+2Tan%5E2x

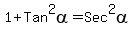
Use the identity 1%2BTan%5E2alpha=Sec%5E2alpha and
replace Sec%5E2x by %281%2BTan%5E2x%29

+2%281%2BTan%5E2x%29+%2B+2Tan%5E2x

Distribute:

+2%2B2Tan%5E2x%2B2Tan%5E2x+

Combine like terms:

2%2B4Tan%5E2x

Edwin