SOLUTION: simplify the following expression by justifying each step: cotA + Tan A / (csc squared)A

Algebra ->  Trigonometry-basics -> SOLUTION: simplify the following expression by justifying each step: cotA + Tan A / (csc squared)A      Log On


   



Question 162316: simplify the following expression by justifying each step:
cotA + Tan A / (csc squared)A

Answer by jojo14344(1513) About Me  (Show Source):
You can put this solution on YOUR website!

%28cot%28alpha%29%2Btan%28alpha%29%29%2Fcsc%5E2%28alpha%29
*Note: reciprocal Identities; tan%28alpha%29=1%2Fcot%28alpha%29
%28cot%28alpha%29%2B%281%2Fcot%28alpha%29%29%29%2Fcsc%5E2%28alpha%29
%28%28cot%5E2%28alpha%29%2B1%29%2Fcot%28alpha%29%29%2Fcsc%5E2%28alpha%29
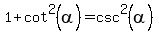
*Note: Pythgorean Identities: 1%2Bcot%5E2%28alpha%29=csc%5E2%28alpha%29
%28csc%5E2%28alpha%29%2Fcot%28alpha%29%29%2F%28csc%5E2%28alpha%29%29
1%2Across%28csc%5E2%28alpha%29%29%2F%28cot%28alpha%29%29%28cross%28csc%5E2%28alpha%29%29%29
1%2Fcot%28alpha%29
*Note: Reciprocal Identities: tan%28alpha%29=1%2Fcot%28alpha%29
highlight%28tan%28alpha%29%29, ANSWER
Thank you,
Jojo