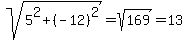
SOLUTION: If v = 5i - 12j, then | v | = a. 5 b. -12 c. 7 d. 13
Algebra
->
Trigonometry-basics
-> SOLUTION: If v = 5i - 12j, then | v | = a. 5 b. -12 c. 7 d. 13
Log On
Algebra: Trigonometry
Section
Solvers
Solvers
Lessons
Lessons
Answers archive
Answers
Click here to see ALL problems on Trigonometry-basics
Question 156051
:
If v = 5i - 12j, then | v | =
a. 5
b. -12
c. 7
d. 13
Answer by
oscargut(2103)
(
Show Source
):
You can
put this solution on YOUR website!
| v | =
(option d)