SOLUTION: rotation of axes question. write equation in terms of rotated x' y' system using theta, the angle of rotation. Write the equation ? involving x' y' in standard form. {{{13

Algebra ->  Trigonometry-basics -> SOLUTION: rotation of axes question. write equation in terms of rotated x' y' system using theta, the angle of rotation. Write the equation ? involving x' y' in standard form. {{{13      Log On


   



Question 154264: rotation of axes question.

write equation in terms of rotated x' y' system using theta, the angle of rotation. Write the equation ?
involving x' y' in standard form.
13x%5E2-10xy%2B13y%5E2-72=0; θ = 45°

Answer by Edwin McCravy(20056) About Me  (Show Source):
You can put this solution on YOUR website!
rotation of axes question.


write equation in terms of rotated x' y' system using theta, 
the angle of rotation. Write the equation involving x' y' 
in standard form.

13x%5E2-10xy%2B13y%5E2-72=0; θ = 45°

If a locus is defined on the xy-coordinate system as , then 
it is denoted as on the rotated x'y'-coordinate system.

We calculate the substitutions to make:

x = x'cosθ-y'sinθ,  

y = x'sinθ+y'cosθ

x = x'%28sqrt%282%29%2F2%29-y'%28sqrt%282%29%2F2%29 = sqrt%282%29%2F2(x'-y')

y = x'%28sqrt%282%29%2F2%29+y'%28sqrt%282%29%2F2%29 = sqrt%282%29%2F2(x'+y')

x² = %28sqrt%282%29%2F2%29%5E2(x'-y')² = 2%2F4(x'²-2x'y'+y'²}=1%2F2(x'²-2x'y'+y'²}

xy = sqrt%282%29%2F2(x'-y')sqrt%282%29%2F2(x'+y')=2%2F4(x'-y')(x'+y')=1%2F2(x'²-y'²)

y² = %28sqrt%282%29%2F2%29%5E2(x'+y')² = 2%2F4(x'²+2x'y'+y'²}=1%2F2(x'²+2x'y'+y'²}

13x%5E2-10xy%2B13y%5E2-72=0

%2813%29·1%2F2(x'²-2x'y'+y'²}-%2810%29·1%2F2(x'²-y'²)+%2813%29·1%2F2(x'²+2x'y'+y'²}-72=0

13%2F2·(x'²-2x'y'+y'²}-10%2F2·(x'²-y'²)+13%2F2·(x'²+2x'y'+y'²}-72=0

Clear of fractions by multiplying through by 2:

 13(x'²-2x'y'+y'²}-10(x'²-y'²)+13(x'²+2x'y'+y'²}-144=0

13x'²-26x'y'+13y'²-10x'²+10y'²+13x'²+26x'y'+13y'²-144=0

                                      16x'²+36y'²-144 = 0
Divide through by 4

                                       4x'²+9y'²-36=0
                                       
                                          4x'²+9y'²=36
 

Divide through by 36:

                                   
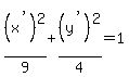
                                    %284x%5E%22%27%22%29%5E2%2F36%2B9%28y%5E%22%27%22%29%5E2%2F36=36%2F36

                                    %28x%5E%22%27%22%29%5E2%2F9%2B%28y%5E%22%27%22%29%5E2%2F4=1





Edwin