SOLUTION: tan 11pi/6

Algebra ->  Trigonometry-basics -> SOLUTION: tan 11pi/6      Log On


   



Question 150901: tan 11pi/6
Answer by jim_thompson5910(35256) About Me  (Show Source):
You can put this solution on YOUR website!
Take note that pi%2F6%2B5pi%2F3=11pi%2F6


So

tan%2811pi%2F6%29=tan%28pi%2F6%2B5pi%2F3%29



Use the Sum-Difference identity to rewrite the right side.


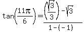
Using the unit circle, we get tan%28pi%2F6%29=sqrt%283%29%2F3 and tan%285pi%2F3%29=-sqrt%283%29


tan%2811pi%2F6%29=%28%28sqrt%283%29%2F3%29-sqrt%283%29%29%2F%281-%28-1%29%29 Multiply sqrt%283%29%2F3 and -sqrt%283%29 to get %28sqrt%283%29%2F3%29%28-sqrt%283%29%29=-%28sqrt%283%29sqrt%283%29%29%2F3=-3%2F3=-1


tan%2811pi%2F6%29=%28%28sqrt%283%29%2F3%29-sqrt%283%29%29%2F%282%29 Combine like terms in the denominator.


tan%2811pi%2F6%29=%28%28sqrt%283%29%2F3%29-3sqrt%283%29%2F3%29%2F%282%29 Multiply -sqrt%283%29 by 3%2F3


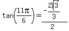
tan%2811pi%2F6%29=%28-2sqrt%283%29%2F3%29%2F%282%29 Combine the fractions in the numerator.


tan%2811pi%2F6%29=-sqrt%283%29%2F3 Divide and simplify.



So the answer is tan%2811pi%2F6%29=-sqrt%283%29%2F3