I need help with a few problems that I'm having difficulty with.
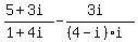
1) 
For the common denominator, I got
= 
------------------------------
That's wrong.
=
=
Replace
by
=
=
------------------------------
But you shouldn't have tried to multiply it out yet anyway.
------------------------------
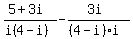
Do you multiply this normally or do you need a conjugate?
------------------------------
Here's the whole thing, starting from scratch:
The LCD = i(4-i)
DO NOT MULTIPLY THAT OUT YET!
The denominator of the first fraction needs the factor
in order to become the LCD, so we multiply it by
which is just 1, so it won't affect the value to multiply the first
fraction by that:
The denominator of the second fraction needs the factor
in order to become the LCD, so we multiply it by
which is just 1, so it won't affect the value to multiply the second
fraction by that:
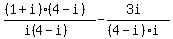
Indicate the multiplication of the numerators and the denominators:
Now use FOIL on the left top:
=
=
=
Now replace
by
=
=
and replace the left top by that:
Distribute the left bottom
=
=
Replace
by
=
=
and
replace the left bottom by that:
The right bottom is the same as the left bottom:
=
=
=
Replace
by
=
=
So replace the right bottom by that:
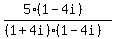
Now combine the numerators over the common denominator:
Collect like terms on top:
Now we are ready to use the conjugate of the bottom.
We multiply by
which again just
equals to 1 so it will not affect the value:
Indicate the multiplication of the numerators and
denominators:
Distribute the top and use FOIL on the bottom:
Combine like terms:
Replace
by
Combine like terms:
Make two fractions:
and write the answer in form

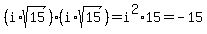
2)
I really do not understand this problem.
Any help would be greatly appreciated! Thank you!
Write
as
Take individual square roots of factors under radicals
Replace
by
Replace
by 15 and
by
Edwin