Read this lesson on completing the square by prince_abubu, if you do not know how to complete the square. Let's convert to standard form by dividing both sides by -3:
We have: .
What we want to do now is to change this equation to a complete square . How can we find out values of somenumber and othernumber that would make it work?
Look at : . Since the coefficient in our equation that goes in front of x is -2.33333333333333, we know that -2.33333333333333=2*somenumber, or . So, we know that our equation can be rewritten as , and we do not yet know the other number.
We are almost there. Finding the other number is simply a matter of not making too many mistakes. We need to find 'other number' such that is equivalent to our original equation .

The highlighted red part must be equal to -1.66666666666667 (highlighted green part).
, or .
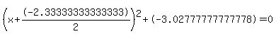
So, the equation converts to , or .
Our equation converted to a square , equated to a number (3.02777777777778).
Since the right part 3.02777777777778 is greater than zero, there are two solutions:

, or




Answer: x=2.90671775148509, -0.573384418151758.
|