SOLUTION: Prove (1 - sin A)/(1 + sin A) = (sec A - tan A)^2

Algebra ->  Trigonometry-basics -> SOLUTION: Prove (1 - sin A)/(1 + sin A) = (sec A - tan A)^2      Log On


   



Question 1208768: Prove (1 - sin A)/(1 + sin A) = (sec A - tan A)^2
Answer by math_tutor2020(3817) About Me  (Show Source):
You can put this solution on YOUR website!

I'll transform the left hand side into the right hand side.
For each step below, the right hand side stays the same.
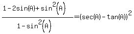
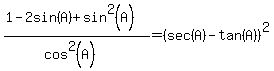
%281+-+sin%28A%29%29%2F%281+%2B+sin%28A%29%29+=+%28+sec%28A%29+-+tan%28A%29%29%5E2

Multiply top and bottom of the left hand side by (1-sin(A))











%28+sec%28A%29+-+tan%28A%29%29%5E2+=+%28+sec%28A%29+-+tan%28A%29%29%5E2
The identity has been confirmed.