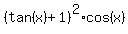
SOLUTION: How do you use trigonometry functions to simplify the expression below? (tanx +1)^2 cosx

Algebra ->  Trigonometry-basics -> SOLUTION: How do you use trigonometry functions to simplify the expression below? (tanx +1)^2 cosx      Log On


   



Question 1206147: How do you use trigonometry functions to simplify the expression below?
(tanx +1)^2 cosx

Answer by MathLover1(20850) About Me  (Show Source):
You can put this solution on YOUR website!
%28tan%28x%29+%2B1%29%5E2%2A+cos%28x%29
use identity tan%28x%29=sin%28x%29%2Fcos%28x%29

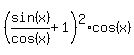
=%28sin%28x%29%2Fcos%28x%29+%2B1%29%5E2%2A+cos%28x%29

=%28%28sin%28x%29%2Bcos%28x%29%29%2Fcos%28x%29%29%5E2%2A+cos%28x%29

=%28%28sin%28x%29%2Bcos%28x%29%29%5E2%2Fcos%5E2%28x%29%29%2A+cos%28x%29....simplify

=%28sin%28x%29%2Bcos%28x%29%29%5E2%2Fcos%28x%29

=%28sin%5E2%28x%29+%2B+cos%5E2%28x%29+%2B+2sin%28x%29+%2Acos%28x%29%29%2Fcos%28x%29...use identity sin%5E2%28x%29+%2B+cos%5E2%28x%29=1

=%281+%2B+2sin%28x%29+%2Acos%28x%29%29%2Fcos%28x%29

=1%2Fcos%28x%29+%2B+%282sin%28x%29+%2Acos%28x%29%29%2Fcos%28x%29...simplify

=1%2Fcos%28x%29+%2B+2sin%28x%29 ...use identity 1%2Fcos%28x%29=sec%28x%29

=sec%28x%29%2B2sin%28x%29