SOLUTION: If sin(x) = 1 5 and x is in quadrant I, find the exact values of the expressions without solving for x. (a) sin(2x) (b) cos(2x) (c) tan(2x)

Algebra ->  Trigonometry-basics -> SOLUTION: If sin(x) = 1 5 and x is in quadrant I, find the exact values of the expressions without solving for x. (a) sin(2x) (b) cos(2x) (c) tan(2x)      Log On


   



Question 1204736: If
sin(x) =
1
5
and x is in quadrant I, find the exact values of the expressions without solving for x.
(a) sin(2x)

(b) cos(2x)

(c) tan(2x)

Answer by MathLover1(20850) About Me  (Show Source):
You can put this solution on YOUR website!

If
sin%28x%29+=1%2F5
and x+is in quadrant I, find the exact values of the expressions without solving for x
in quadrant I sin, cos, and tan are positive

sin%28x%29+=1%2F5=>a%2Fc=1%2F5 => a=1+and c=5

using Pythagorean theorem,
b=sqrt%285%5E2-1%5E2%29
b=sqrt%2824%29
b=sqrt%284%2A6%29
b=2sqrt%286%29 or b=-2sqrt%286%29
we need positive value
b=2sqrt%286%29

then cos%28x%29=%282sqrt%286%29%29%2F5


(a)
sin%282x%29=2cos%28x%29%2A+sin%28x%29
sin%282x%29=2%28%282sqrt%286%29%29%2F5%29+%2A%281%2F5%29
sin%282x%29=%284sqrt%286%29%29%2F25

(b)
cos%282x%29=cos%5E2%28x%29+-+sin%5E2%28x%29
cos%282x%29=%28%282sqrt%286%29%29%2F5%29%5E2+-+%281%2F5%29%5E2
cos%282x%29=24%2F25-+1%2F25
cos%282x%29=23%2F25

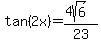
(c)
tan%282x%29=sin%282x%29%2Fcos%282x%29
tan%282x%29=%28%284sqrt%286%29%29%2F25%29%2F%2823%2F25%29
tan%282x%29=%284sqrt%286%29%29%2F23