SOLUTION: If sin 𝛼 + sin 𝛽 = 𝑝, cos 𝛼 − cos 𝛽 = 𝑞, where 𝑝 ≠ 0 and 𝑝 ≠ 𝑞, find cot(𝛼 − 𝛽) in terms of 𝑝 and 𝑞.

Algebra ->  Trigonometry-basics -> SOLUTION: If sin 𝛼 + sin 𝛽 = 𝑝, cos 𝛼 − cos 𝛽 = 𝑞, where 𝑝 ≠ 0 and 𝑝 ≠ 𝑞, find cot(𝛼 − 𝛽) in terms of 𝑝 and 𝑞.      Log On


   



Question 1204327: If sin 𝛼 + sin 𝛽 = 𝑝, cos 𝛼 − cos 𝛽 = 𝑞, where 𝑝 ≠ 0 and 𝑝 ≠ 𝑞, find cot(𝛼 − 𝛽) in terms of 𝑝 and 𝑞.
Found 2 solutions by Edwin McCravy, math_tutor2020:
Answer by Edwin McCravy(20064) About Me  (Show Source):
You can put this solution on YOUR website!
If sin 𝛼 + sin 𝛽 = 𝑝, cos 𝛼 − cos 𝛽 = 𝑞, where 𝑝 ≠ 0 and 𝑝 ≠ 𝑞,
find cot(𝛼 − 𝛽) in terms of 𝑝 and 𝑞.
We use the sum/difference to product trig identities:

p%22%22=%22%22sin%28alpha%29%2Bsin%28beta%29%22%22=%22%222sin%28expr%281%2F2%29%28alpha%2Bbeta%29%29%2Acos%28expr%281%2F2%29%28alpha-beta%29%29

q%22%22=%22%22cos%28alpha%29-cos%28beta%29%22%22=%22%22-2sin%28expr%281%2F2%29%28alpha%2Bbeta%29%29%2Asin%28expr%281%2F2%29%28alpha-beta%29%29

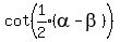
p%2Fq%22%22=%22%22%22%22=%22%22-cos%28expr%281%2F2%29%28alpha-beta%29%29%2Fsin%28expr%281%2F2%29%28alpha-beta%29%29%22%22=%22%22-cot%28expr%281%2F2%29%28alpha-beta%29%29

cot%28expr%281%2F2%29%28alpha-beta%29%29%22%22=%22%22-p%2Fq

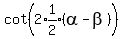
We use the trig identity cot%282%2Aphi%29%22%22=%22%22%28cot%5E2%28phi%29-1%29%2F%282%2Acot%5E%22%22%28phi%29%29 with phi%22%22=%22%22expr%281%2F2%29%28alpha-beta%29

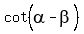
cot%5E%22%22%28alpha-beta%29%22%22=%22%22cot%282%2Aexpr%281%2F2%29%28alpha-beta%29%29%22%22=%22%22%28%28-p%2Fq%29%5E2-1%29%2F%282%2A%28-p%2Fq%29%29%22%22=%22%22-%28p%5E2%2Fq%5E2-1%29%2F%282p%5E%22%22%2Fq%5E%22%22%29

Multiply top and bottom by q2:

cot%5E%22%22%28alpha-beta%29%22%22=%22%22-%28p%5E2-q%5E2%29%2F%282pq%5E%22%22%29%22%22=%22%22%28q%5E2-p%5E2%29%2F%282pq%5E%22%22%29

Edwin


Answer by math_tutor2020(3817) About Me  (Show Source):