SOLUTION: If {{{ cos(beta) = -3 / 5 }}} then, without a calculator, find {{{cos(pi / 2 - beta) }}}. Write your answer as a fraction.

Algebra ->  Trigonometry-basics -> SOLUTION: If {{{ cos(beta) = -3 / 5 }}} then, without a calculator, find {{{cos(pi / 2 - beta) }}}. Write your answer as a fraction.      Log On


   



Question 1203962: If +cos%28beta%29+=+-3+%2F+5+ then, without a calculator, find cos%28pi+%2F+2+-+beta%29+. Write your answer as a fraction.
Found 4 solutions by mananth, ikleyn, MathLover1, MathTherapy:
Answer by mananth(16946) About Me  (Show Source):
You can put this solution on YOUR website!
cos%28pi%2F2-beta%29+=+sin%28beta%29
cos%5E2%28beta%29%2Bsin%5E2%28beta%29=+1
%28-3%2F5%29%5E2%2B+sin%5E2%28beta%29+=1
9%2F25+%2B+sin%5E2%28beta%29+=+1
sin%5E2%28beta%29=+1-+9%2F25
sin%5E2%28beta%29+=+16%2F25
sin(beta) = (+/-)(4/5)


Answer by ikleyn(52908) About Me  (Show Source):
You can put this solution on YOUR website!
.
If +cos%28beta%29+=+-3+%2F+5+ then, without a calculator, find cos%28pi+%2F+2+-+beta%29+.
Write your answer as a fraction.
~~~~~~~~~~~~~~~~~~

cos%28pi%2F2-beta%29 = cos%28pi%2F2%29%2Acos%28beta%29+%2B+sin%28pi%2F2%29%2Asin%28beta%29 = 0%2Acos%28beta%29+%2B+1%2Asin%28beta%29 = sin%28beta%29 = +/- sqrt%281-cos%5E2%28beta%29%29 = 

= +/- sqrt%281-%28-3%2F5%29%5E2%29 = +/- sqrt%281-9%2F25%29 = +/- sqrt%2816%2F25%29 = +/- 4%2F5.


Thus, there are two solutions and two answers are possible, 4/5 or -4/5, 
depending on to which quadrant the angle beta does belong.



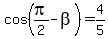
ANSWER.  If beta is in QII, then  cos%28pi%2F2-beta%29 = 4/5.

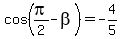
         If beta is in QIII, then  cos%28pi%2F2-beta%29 = -4/5.

Solved.



Answer by MathLover1(20850) About Me  (Show Source):
You can put this solution on YOUR website!

If +cos%28beta%29+=+-3+%2F+5+ then, without a calculator, find cos%28pi+%2F+2+-+beta%29+. Write your answer as a fraction.

use identity:
cos%28pi%2F2+-+beta%29+=sin%28beta%29
and
sin%28beta%29=sqrt%281-cos%5E2%28beta%29%29

given that

cos%28beta%29+=+-3+%2F+5+, then
cos%5E2%28beta%29+=%28+-3+%2F+5%29%5E2+
cos%5E2%28beta%29+=9+%2F25+
substitute in sin%28beta%29=sqrt%281-cos%5E2%28beta%29%29
sin%28beta%29=sqrt%281-9+%2F25+%29
sin%28beta%29=sqrt%2816%2F25+%29
sin%28beta%29=4%2F5+ or sin%28beta%29=+-4%2F5+

so, cos%28pi+%2F+2+-+beta%29+=4%2F5+ or cos%28pi+%2F+2+-+beta%29+=+-4%2F5+


Answer by MathTherapy(10557) About Me  (Show Source):
You can put this solution on YOUR website!
If +cos%28beta%29+=+-3+%2F+5+ then, without a calculator, find cos%28pi+%2F+2+-+beta%29+. Write your answer as a fraction.

cos%28beta%29+=+%28-+3%29%2F5+=+A%2FH+=+x%2Fr,and its co-function is: cos%28pi%2F2+-+beta%29, or sin%28beta%29

It may not be obvious to some but since x = - 3, and r = 5, we have here one of the many PYTHAGOREAN
TRIPLES, the one of the form, 3-4-5. But, considering that cos is GIVEN as negative (< 0), beta (beta)
is either in the 2nd or 3rd quadrant. This means that O (Opposite) = y = %22+%22%2B-+4

As such, .