SOLUTION: Determine two coterminal angles (one positive and one negative) for each angle. Give your answers in radians -5𝜋/6

Algebra ->  Trigonometry-basics -> SOLUTION: Determine two coterminal angles (one positive and one negative) for each angle. Give your answers in radians -5𝜋/6       Log On


   



Question 1203632: Determine two coterminal angles (one positive and one negative) for each angle. Give your answers in radians

-5𝜋/6

Answer by MathLover1(20850) About Me  (Show Source):
You can put this solution on YOUR website!



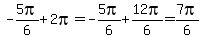
given angle: -5pi%2F6
calculating a positive coterminal angle:
-5pi%2F6%2B2pi=-5pi%2F6%2B12pi%2F6=7pi%2F6
calculating negative coterminal angle:
-5pi%2F6-2pi=-5pi%2F6-12pi%2F6=-17pi%2F6