SOLUTION: The total revenue R earned (in thousands of dollars) from manufacturing handheld video game systems is given by
R(p) = −22p2 + 1,100p,
where p is the price per unit (in dolla
Algebra ->
Trigonometry-basics
-> SOLUTION: The total revenue R earned (in thousands of dollars) from manufacturing handheld video game systems is given by
R(p) = −22p2 + 1,100p,
where p is the price per unit (in dolla
Log On
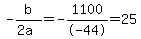
Question 1202989: The total revenue R earned (in thousands of dollars) from manufacturing handheld video game systems is given by
R(p) = −22p2 + 1,100p,
where p is the price per unit (in dollars). Find the unit price (in dollars) that yields a maximum revenue. Answer by greenestamps(13200) (Show Source):