SOLUTION: P(6,-4) is a point on the terminal side of theta in standard form. Find the exact values of the trigonometric functions of theta
Algebra ->
Trigonometry-basics
-> SOLUTION: P(6,-4) is a point on the terminal side of theta in standard form. Find the exact values of the trigonometric functions of theta
Log On
Question 1202445: P(6,-4) is a point on the terminal side of theta in standard form. Find the exact values of the trigonometric functions of theta Answer by math_tutor2020(3817) (Show Source):
The soh cah toa formulas are
A shorter format would be
This shorter format is very useful when we're given coordinates of the terminal point.
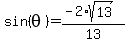
In this case we have (x,y) = (6,-4) that is the terminal point.
Use the pythagorean theorem to find the radius of the circle, which will give the hypotenuse of the right triangle.
Then,
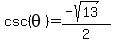
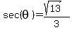
The other three trig ratios are the reciprocals of those previously mentioned three ratios.
csc = 1/sin
sec = 1/cos
cot = 1/tan
meaning that
csc = r/y
sec = r/x
cot = x/y