SOLUTION: cot(arccos-square root 6/3) I know triangle is in quadrant II because of negative sign. Just confused on how the answer is -square root 2.

Algebra ->  Trigonometry-basics -> SOLUTION: cot(arccos-square root 6/3) I know triangle is in quadrant II because of negative sign. Just confused on how the answer is -square root 2.       Log On


   



Question 1201910: cot(arccos-square root 6/3)
I know triangle is in quadrant II because of negative sign.
Just confused on how the answer is -square root 2.

Found 3 solutions by greenestamps, Edwin McCravy, ikleyn:
Answer by greenestamps(13208) About Me  (Show Source):
You can put this solution on YOUR website!


The range of the arccos function is from 0 to pi (radians), or 0 to 180 degrees, so the angle is in quadrant I or II.

Then, since the cosine is negative, the angle is in quadrant II.

You have gotten that far in your work.

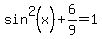
From there, you can use sin%5E2%28x%29%2Bcos%5E2%28x%29=1 to find the sine of the angle, choosing the positive answer because the angle is in quadrant II, where sine is positive.

sin%5E2%28x%29%2B%28-sqrt%286%29%2F3%29%5E2=1
sin%5E2%28x%29%2B6%2F9=1
sin%5E2%28x%29=1%2F3
sin%28x%29=1%2Fsqrt%283%29=sqrt%283%29%2F3

Then use cot%28x%29=cos%28x%29%2Fsin%28x%29 to find the answer to the problem.




Answer by Edwin McCravy(20063) About Me  (Show Source):
You can put this solution on YOUR website!
cot%28arccos%28-%28sqrt%286%29%29%2F3%29%5E%22%22%29

First look only at 

arccos%28-%28sqrt%286%29%29%2F3%29

That asks: What angle between 0 and 360 has -%28sqrt%286%29%29%2F3 for its cosine?

It's a NEGATIVE cosine and the cosine is negative only in QII and QIII.

So it's got to be one of these two:

   

The first one is the PRINCIPLE value, since it has the lesser absolute
value. (The shorter red arc). So we calculate the other side of the triangle 
for the first one, using the Pythagorean theorem:



We choose the positive sign, since it goes up.



That's the picture of

arccos%28-%28sqrt%286%29%29%2F3%29

And we want 

cot%28arccos%28-%28sqrt%286%29%29%2F3%29%5E%22%22%29

Since we know that cotangent=adjacent%2Fopposite,

the answer is

%28-sqrt%286%29%29%2F%28sqrt%283%29%29%22%22=%22%22-sqrt%286%2F3%29%22%22=%22%22-sqrt%282%29.

Edwin

Answer by ikleyn(52873) About Me  (Show Source):
You can put this solution on YOUR website!
.

Hey, see how simple it is:

    You just know that  cot%28theta%29 = cos%28theta%29%2Fsin%28theta%29%29.  It is a general formula and general knowledge,
                                                             not depending on the given problem.


    Concretely in the problem, you are given the cosine: cos%28theta%29 = -sqrt%286%29%2F3.

    All you need now, is to calculate  sin%28theta%29 = +/- sqrt%281-cos%5E2%28theta%29%29  and then to take the sign of the sine correctly.

    After that to make the needed ratio and complete simple arithmetic.


        +---------------------------------+
        |    That's all you need to do.   |
        |  That's all they want from you. |
        +---------------------------------+


You are fully instructed.

----------------

For all such problems, the methodology of solution is the same,

and very first and critically important step is to make a  highlight%28highlight%28TRANSLATION%29%29
on the language which you understand

            (a)   what is given
    and
            (b)   what they want from you.


If you do not make this translation,  you will not solve the problem: you simply will not know what to do.

As soon as you make such translation,  the solution is easy.


......................


At the beginning, you should not think about details: where some elements/angles are located,
until you understand the major point: what is given and what they want from you.

As soon as you get it, you may start thinking about the details.