SOLUTION: Don't understand how the answer to this problem is 15. csc(arctan(square root 14/56))

Algebra ->  Trigonometry-basics -> SOLUTION: Don't understand how the answer to this problem is 15. csc(arctan(square root 14/56))      Log On


   



Question 1201909: Don't understand how the answer to this problem is 15.
csc(arctan(square root 14/56))

Found 3 solutions by Alan3354, math_tutor2020, MathTherapy:
Answer by Alan3354(69443) About Me  (Show Source):
You can put this solution on YOUR website!
csc(arctan(square root 14/56))
= csc%28arctan%28sqrt%281%2F4%29%29%29
= csc%28arctan%281%2F2%29%29
= csc%2826.565%29 degs by calculator
= sqrt%285%29

Answer by math_tutor2020(3817) About Me  (Show Source):
You can put this solution on YOUR website!

sqrt = "square root"
example: sqrt(7) = sqrt%287%29

Let theta = theta = arctan(sqrt(14)/56)
This leads to tan(theta) = sqrt(14)/56

Recall that tangent is the ratio opposite/adjacent.

tan(theta) = sqrt(14)/56
tan(theta) = opposite/adjacent
opposite = sqrt(14)
adjacent = 56

Let's draw a right triangle with these properties.

x = hypotenuse

Use the pythagorean theorem to find x.
a^2+b^2 = c^2
(sqrt(14))^2+56^2 = x^2
14+3136 = x^2
3150 = x^2
x^2 = 3150
x = sqrt(3150)
x = sqrt(225*14)
x = sqrt(225)*sqrt(14)
x = 15*sqrt(14)


Let's update the diagram



Then,
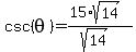
csc%28theta%29+=+hypotenuse%2Fopposite

csc%28theta%29+=+%2815%2Asqrt%2814%29%29%2F%28sqrt%2814%29%29

csc%28theta%29+=+%2815%2Ahighlight%28sqrt%2814%29%29%29%2F%28highlight%28sqrt%2814%29%29%29

csc%28theta%29+=+%2815%2Across%28sqrt%2814%29%29%29%2F%28cross%28sqrt%2814%29%29%29

csc%28theta%29+=+15

csc%28arctan%28sqrt%2814%29%2F56%29%29+=+15

Answer by MathTherapy(10552) About Me  (Show Source):
You can put this solution on YOUR website!

Don't understand how the answer to this problem is 15.

csc(arctan(square root 14/56))

Are you saying that the correct answer is 15?
If so, then what you're asking to be simplified is csc+%28arctan%28sqrt%2814%29%2F56%29%29 as opposed to csc%28arctan%28sqrt%2814%2F56%29%29%29, 
and should therefore be written as: csc(arctan(square root (14)/56)).